您当前所在的位置:首页 > 产品中心
TPPA

   
   

产品名称:

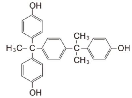
a,a,a'-三(4-羟苯基)-1-乙基-4-异丙苯

别    名:

TPPA,三酚A

CAS   号:

110726-28-8

产    地:

进口

品    牌:

进口

外    观:

白色粉末

结 构 式:

图片2.png 

主要指标:

含量: ≥99 %,

包装方式:

10KG/桶

性    质:

白色粉末

行业应用:

用于有机合成,代替双酚A用于工程塑料
用于感光材料,增加感光性能

联系方式

艾光纯       13916390545

相关资讯
RELEVANT INFORMATION

2023-05-08

六氟异丙醇是危险品吗?

六氟异丙醇是6+8类危险品,英文名:1,1,1,3,3,3-Hexafluoro-2-propanol,CAS No:EINECS 登录号:213-059-4 物理化学性质 密度:1.596 熔点:-4°C 沸点:59°C 折射率:1.274-1.277 水溶性:···...

2023-05-06

院士呼吁:石墨烯产业莫要上演“大跃进”

中华化工网讯 “石墨烯产业发展要扎扎实实,要做高尖端的‘杀手锏’应用,不能满足于不顾未来只做产品,比如现在市场上流行石墨烯内衣和腰带,更不能一拥而上,轰轰烈烈搞石墨烯产业的‘大跃进···...

2023-05-06

为什么适当的气体分布对于优化实验室操作至关重要

想象自己是一名实验室技术员。当您执行预期的测试或分析时,您会接近特定气体的使用点。您激活了一种机制来获得所需的气体,但流量和压力低于预期水平。这是一个问题,可能有多种原因:·您正···...
Copyright © 无锡春和科技有限公司 All rights reserved 备案号:苏ICP备2322087202号-1
一键拨号